科学研究

黄师荣誉 | 重磅!黄师首次在《Nature》子刊上发表研究论文

  • 发布者:化学化工学院办公室
  • 发布时间:2025-11-14

              11月13日,我校化学化工学院赵国伟教授研究团队以我校为第一单位在《Nature》子刊《Nature Communications》 (《自然·通讯》)发表题为“Advancing sulfide solid electrolytes via green Li2S synthesis”的研究论文,标志着我校在全固态电池固体电解质关键材料领域取得重要研究进展。               


这是我校首次

以第一单位

在《Nature Communications》上

发表学术研究型论文

标志着学校

在新能源材料研究领域的

国际影响力进一步提升

                                     化学化工学院青年教师张怡博士为该论文第一作者,高凌副教授为共同一作,本科生郑浩然参与了研究工作,西安交通大学赵洪洋副教授和我校赵国伟教授为论文共同通               讯作者。

 

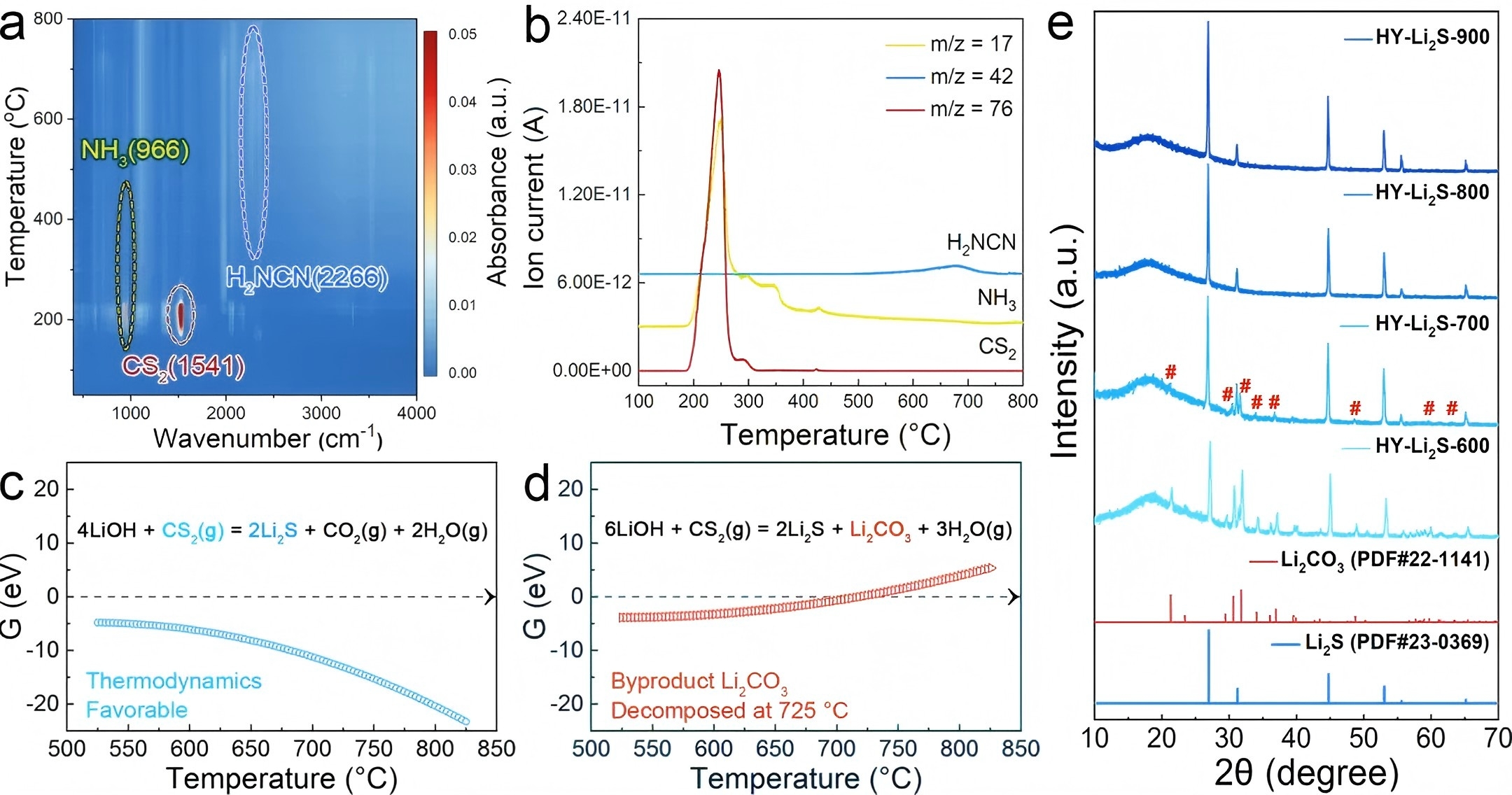
                  该研究成果提出了一种无溶剂复分解反应(metathesis)法,利用廉价、安全的硫脲(thiourea)作为S2⁻供体与LiOH反应,在无溶剂体系下直接生成高纯              sLi2S, 并伴随CO2与NH3气体自发逸出,从而避免了传统液相法中ΔGmix引起的平衡限制,实现反应完全转化与高纯产物获得。                                 

▲绿色无溶剂法制备Li2S的反应机理理论计算示意图

▲不同温度下绿色无溶剂法制备Li2S的反应机理示意图和实验验证

                      

     ▲通过锂源为LiOH或Li2CO3时绿色无溶剂法制备Li2S的反应机理示意图

                                            该成果首次实现了以固体硫脲为硫源的无溶剂绿色合成路线,突破了传统液相体系中产物转化不完全与纯化成本高的问题,为高纯Li2S的大规模、低成本生产提供了切实可行的                新思路。 

▲实验室公斤级制备Li2S及其在经典硫化物系电解质材料合成应用

▲基于本方法与商业化Li2S为原料制备的经典Li10GeP2S12和Li5.5PS4.5Cl1.5硫化物电解质性能对比

该策略不仅有望显著降低硫化物固态电解质产业化门槛,也为绿色电池材料化学的发展提供了范式,推动固态电池商业化进程。

               据悉,《Nature Communications》是Nature出版集团旗下的重要子刊,在国际学术界具有较高影响力。在中国科学院期刊分区中列为综合性期刊1区Top,在JCR中属于Q1区。               2024—2025年最新影响因子为15.7,总被引量达91.1万次,成为全球被引量最高的开放获取期刊,体现了其学术影响力与传播度。

论文链接:

https://www.nature.com/articles/s41467-025-64924-8



365英国上市公司(VIP集团)有限公司-官方网站 版权所有

地址:湖北省黄冈开发区新港二路146号
电话:0713-8833611 E-mail:www.aycgc.com